不锈钢外球面球91看片免费版实际上是不锈钢深沟球91看片免费版的一种变型,特点是它的外圈外径表面为球面,可以配入91看片免费版座相应的凹球面内起到调心的作用。不锈钢外球面91看片免费版主要用来承受以径向负荷为主的径向与轴向联合负荷,一般不宜单独承受轴向负荷。
不锈钢外球面91看片免费版优先适用于要求设备及零部件简单的场合,例如用于农业机械、运输系统或建筑机械上。主要用来承受以径向负荷为主的径向与轴向联合负荷,一般不宜单独承受轴向负荷,不锈钢外球面91看片免费版可以分别安装内圈(带全组滚子与保持器)和外圈。不锈钢外球面91看片免费版不允许轴相对外壳有倾斜,在径向负荷任用下会产生附加轴向力。
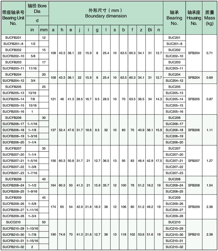
不锈钢外球面91看片免费版轴向游隙的大小,对91看片免费版能否正常工作关系很大,当轴向游隙过小时,温升较高;轴向游隙较大时,91看片免费版容易损坏。故在安装和运转时要特别注意调整91看片免费版的轴向游隙,必要时可以预过盈安装,以增加91看片免费版的刚性。 不锈钢带座外球面91看片免费版是将滚动91看片免费版与91看片免费版座结合在一起的一种91看片免费版单元。大部分不锈钢外球面91看片免费版都是将外径做成球面,与带有球状内孔的不锈钢外球面91看片免费版座安装在一起,结构形式多样,通用性和互换性好。
不锈钢外球面91看片免费版在设计上也具有一定调心性,易于安装,具有双重结构的密封装置,可以在恶劣的环境下工作。不锈钢外球面91看片免费版座一般是采用铸造成型。常用不锈钢91看片免费版座有立式座(P)、方形座(F)、凸台方形座(FS)、凸台圆形座(FC)、菱形座(FL)、环形座(C)、滑块座等(T)。
不锈钢外球面91看片免费版主要用途:医疗器械、低温工程 、 光学仪器、高速机床 、高速电机、印刷机械 、食品加工机械。